Marginal effects
Marginal effect plots are useful for understanding model fits.
If you are an EEG researcher, you can think of the coefficients as the 'difference waves' and the (marginal) effects as the 'modelled ERP evaluated at a certain predictor value combination'. In some way, we are fitting a model with coefficients, receiving intercepts and slopes, and then try to recover the 'classical' ERPs in their "data-domain", typically with some effect adjustment, overlap removal, or similar.
Setup things
Setup some packages
using Unfold
using DataFrames
using Random
using CSV
using UnfoldMakie
using UnfoldSim
using UnfoldMakieGenerate data and fit a model with a 2-level categorical predictor and a continuous predictor without interaction.
data, evts = UnfoldSim.predef_eeg(; noiselevel = 8)
basisfunction = firbasis(τ = (-0.1, 0.5), sfreq = 100; interpolate = false)
f = @formula 0 ~ 1 + condition + continuous # 1
m = fit(UnfoldModel, [Any => (f, basisfunction)], evts, data, eventcolumn = "type")Plot the results
plot_erp(coeftable(m))
The coefficients are represented by three lines on a figure:
- the intercept showing the reference category for a typical p1/n1/p3 ERP components;
- the slope of continuous variables with 1µV range;
- the effect of categorical variabe with 3µV range.
Effects function
In order to better understand the actual predicted ERP curves, often researchers had to do manual contrasts. Remember that a linear model is y = X * b, which allows (after b was estimated) to input a so-called contrast vector for X. You might know this in the form of [1, 0, -1, 1] or similar form. However, for larger models, this method can be prone to errors.
The effects function is a convenient way to specify contrast vectors by providing the actual levels of the experimental design. It can be used to calculate all possible combinations of multiple variables.
If a predictor-variable is not specified here, the function will automatically set it to its typical value. This value is usually the mean, but for categorical variables, it could be something else. The R package emmeans has a lot of discussion on this topic.
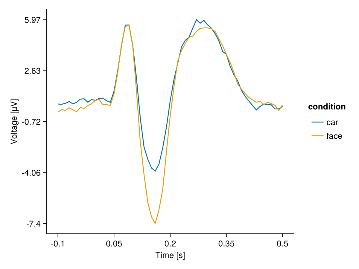
eff = effects(Dict(:condition => ["car", "face"]), m)
plot_erp(eff; mapping = (; color = :condition,))
We can also generate continuous predictions:
eff = effects(Dict(:continuous => -5:0.5:5), m)
plot_erp(
eff;
mapping = (; color = :continuous, group = :continuous => nonnumeric),
categorical_color = false,
categorical_group = false,
)
Or we can split our marginal effects by condition and calculate all combinations "automagically".
eff = effects(Dict(:condition => ["car", "face"], :continuous => -5:2:5), m)
plot_erp(eff; mapping = (; color = :condition, col = :continuous))
What is typical anyway?
The effects function includes an argument called typical, which specifies the function applied to the marginalized covariates/factors. The default value is mean, which is usually sufficient for analysis.
However, for skewed distributions, it may be more appropriate to use the mode, while for outliers, the median or winsor mean may be more appropriate.
To illustrate, we will use the maximum function on the continuous predictor.
eff_max = effects(Dict(:condition => ["car", "face"]), m; typical = maximum)
eff_max.typical .= :maximum
eff = effects(Dict(:condition => ["car", "face"]), m)
eff.typical .= :mean # mean is the default
plot_erp(vcat(eff, eff_max); mapping = (; color = :condition, col = :typical))
This page was generated using Literate.jl.